探索自然與合成的有機顏料與染料及其化學結構
大自然中的有機顏料
自古以來,人類就利用有機物質和無機材料的天然顏色,尤其是植物所提供的色彩。這些有機材料不僅被用于繪畫顏料和化妝品,還廣泛應用于染料。顏色的呈現受多種因素影響,例如化合物的晶粒大小、染色過程的pH值以及染色材料的類型。此外,媒染劑的使用也可能影響染料的顏色變化。通過改變染色條件,同一種染料可以產生多種顏色。這些因素共同決定了有機顏料和染料的最終效果。
有機顏料的化學基礎
最早的有機顏料來源于天然植物或動物,它們主要由碳、氫、氧和氮組成,偶爾也包含磷或硫等雜原子。許多有機化合物是無色的,但在某些鍵合情況下,這些分子會吸收可見光,從而呈現顏色。例如,β-胡蘿卜素是橙色的,使胡蘿卜呈現橙色;番茄紅素和藏紅花也具有類似的結構,使得番茄呈紅色,而藏紅花呈黃色。這些化合物具有相同的化學式,但結構不同,被稱為異構體,如圖所示。

重要的天然有機染料
靛藍和泰爾紫
靛藍是重要的天然有機染料之一,主要從亞洲亞熱帶地區的木藍植物中提取,也可以從板藍和菘藍中獲得,靛藍用于染色牛仔褲的藍色。提爾紫與靛藍結構相似,但其中一些氫原子被溴取代,這種染料最早由腓尼基人發明,名字也源于腓尼基城市提爾(Tyre)。提爾紫來源于海螺,提取過程昂貴且費時,因此曾經是富貴階層的專屬,也被稱為帝王紫,是一種古代非常珍貴的紫色染料。

指甲花醌和茜素
指甲花醌是眾多基于醌的染料分子之一。醌結構是一個簡單的六元苯環,分子兩端連接有氧原子,它在化學和生物學中很重要,因為它與對苯二酚發生可逆的還原氧化過程。可以添加額外的芳香環來形成萘醌和蒽醌,它們的名字來源于烴類萘和蒽。指甲花醌是從指甲花植物Lawonia enermis中提取的,根據染色條件會產生棕褐色到深棕色的顏色。它已被用作皮膚染料數千年。
茜素也是一種基于醌的紅色染料,至少從公元前1500年開始使用。它和結構相似的紅紫素分子都是從茜草植物的根部獲得的。它們是蒽醌的衍生物,許多合成染料也是以蒽醌為基礎的。染料的合成是在 19 世紀開發的,茜素是由巴斯夫從蒽C14H10 開始商業制備的。在油漆中它被稱為茜素深紅或玫瑰茜紅。

印度黃和黑色素
黑色素是負責皮膚顏色的分子,可防止紫外線輻射造成的損害。轉化為兩種一般的聚合物結構——真黑素和褐黑素。這些聚合物的結構有一些變化,這取決于附著在聚合物上的各種取代基的性質。真黑素可以是黑色或棕色,褐黑素是黃紅色的。這些聚合物共同負責頭發的顏色。黑色素也是魷魚等頭足類動物保護墨水的主要成分,有棕色(棕褐色)和藍黑色兩種顏色。這些天然黑色素被收獲并用作墨水。
印度黃是一種歷史上重要的顏料,主要用于印度微型繪畫。它通過從只喂芒果葉的奶牛尿液中提取,20世紀初由于對奶牛健康的考慮而停止使用。印度黃是鎂鹽和鈣鹽的混合物,由桉酸、C19H16O10、氧雜蒽酮(桉酸的化學前體)和磺化氧雜蒽酮組成。

合成有機顏料和染料
隨著對發色團的日益了解以及不同官能團對其顏色的影響,核心發色團可以改變以產生多種顏色。化學家們在實驗室中合成了許多新型有機顏料和染料。這些染料不僅用于油漆和紡織品,還廣泛應用于塑料、油墨、染發劑、食品染料和化妝品。以下是幾種常見的合成染料類別:
偶氮染料
偶氮染料的核心結構有一個-N=N-基團,即偶氮官能團,其母體分子是偶氮苯(C6H5N=NC6H5),呈橙紅色。具有不同官能團的偶氮染料的實例連接到核心偶氮苯分子上。這些染料可以通過連接不同的官能團來改變顏色。

蒽醌染料
蒽醌的多種衍生物顯示出與蒽醌堿基相連的不同官能團。蒽醌染料具有三個熔融的六元環,其中兩個中心碳連接到氧原子上。天然存在的色素茜素是一種基于蒽醌的色素。注意:與Cl的鍵似乎沒有連接到環中的特定碳原子上,這表明Cl可以連接到兩個或多個可能的位置。

喹吖啶酮顏料
喹吖啶酮顏料具有與蒽醌類相關的結構。它們主要用于紅色、粉紅色、玫瑰品紅色和紫色。這些顏料采用多種晶體形式,導致顏色的細微變化。因其出色的穩定性和透明度,當它們首次出現在市場上時,就受到藝術家的青睞。

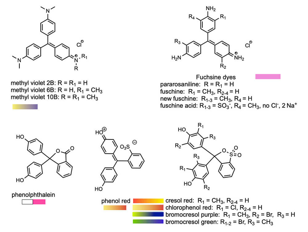
苯胺染料
威廉·亨利·珀金斯(William Henry Perkins)于1856年發現了苯胺染料。顧名思義,這些基于苯胺,一種具有NH2基團取代氫的苯分子及其衍生物。當與甲基取代的苯胺對甲苯胺和對甲苯胺反應時,異構體的混合物產生紫色。苯胺染料可以與不同的取代基結合,產生多種顏色。盡管苯胺染料曾因其鮮艷的顏色受到歡迎,但由于健康風險,目前已不再廣泛使用。

三苯甲烷染料
另一類常見染料是以三苯甲烷HC(C6H5)3為基礎的。苯基是苯分子的名稱,當它具有其中一個氫原子并連接到不同的官能團時。更一般地說,苯基可以是多種芳環系統,如苯。與另一個有機分子相連的此類基團的總稱是芳基。這些化合物中有許多是用于檢測溶液pH值的指示劑,因為化合物的顏色會隨著pH值的變化而變化。其中最廣為人知的是酚酞,它在酸性溶液中從無色變為在堿存在下呈亮粉紅色。其中的其他物質,如曙紅和羅丹明,在生物學中用于對不同類型的組織進行染色,使它們在顯微鏡下觀察時顯示得更好。另一個好處是,其中一些染料是熒光的,這使得它們在被適當波長的光照射時會非常明亮。

結論
大自然中的有機顏料因其豐富的色彩和多樣性,長期以來被廣泛使用。隨著合成技術的發展,新的有機顏料和染料不斷涌現,為藝術和工業提供了豐富的選擇。這些顏料和染料不僅裝點了人們的生活,也在科學研究和工業應用中發揮著重要作用。
最新產品
- 潤巴Ranbar油溶性熒光染料 - 高透明高著色力溶劑型油墨專用
- 蘇達山Hostaperm Yellow H4G油墨涂料用不透明綠相黃有機顏料
- 潤巴I0240鐵鉻黑顏料 | 耐高溫高紅外反射顏料棕29(P.Br.29)
- 馬來西亞擴散粉EBS-F L-206F乙撐雙硬脂酰胺分散潤滑劑CPlasa
- 巴斯夫Tinuvin 479光穩定劑|天樂榮羥苯基三嗪紫外光吸收劑
- 巴斯夫K5700二惡嗪紫Cromophtal Violet K5700高性能有機顏料紫37
- 潤巴Ranbar Blue I5010鈷鉻藍顏料|高性能綠相藍色無機顏料
- 熒光防偽顏料_潤巴Ranbar FD系列水性無甲醛防偽熒光粉
- 油性防偽熒光粉_潤巴FO系列隱形紫外熒光防偽顏料
- 潤巴2G熒光黃染料 - 尼龍與工程塑料專用耐高溫熒光染料
- 潤巴Fluorescent Yellow 4G加纖水煮尼龍用綠相熒光黃染料
- 潤巴熒光橙3G|高溫工程塑料用黃相橙色熒光染料Fluorescent Orange 3G
- 變色龍顏料原理與應用領域|奇幻變色顏料的色彩效果
- 色母粒分散性影響因素:材料與工藝對塑料制品顏色均勻性的影響
- 解決色母粒常見問題:應對顏色遷移、色差與滲色的全面解決方案
- 2025年鈦行業報告:科慕、特諾、龍蟒佰利聯領跑全球二氧化鈦(鈦白粉)市場
- DIC 2025年上半年財報:營業收入增長22.9%,DIC顏料業務推動盈利回升
- 比炭黑還黑的顏料有哪些?盤點那些顛覆視覺的“黑科技”超黑材料!
- 全球珠光顏料市場分析報告(2025-2033):規模、趨勢與應用前景
- 2032年全球特效顏料市場將達15.68億美元|汽車與化妝品行業需求驅動增長
- 熒光防偽顏料是什么?原理、技術應用與怎么用全解析
- 變色顏料原理詳解:什么是物理變色與化學變色?
- 填充母粒市場分析:2025–2032年全球規模、趨勢與區域前景
- 卡博特炭黑制造商連續五年獲EcoVadis鉑金評級 領跑可持續發展
- 熱致變色材料市場前景:2032年市場將突破38.5億美元
- KRAHN Chemie將分銷Vibrantz群青、釩酸鉍等高性能顏料產品
- 2025–2034年全球偶氮顏料市場分析:趨勢、增長預測與區域前景
- 顏料紅108鎘紅和顏料紅254大紅的區別,哪個顏料更鮮艷?
- 光引發劑市場規模、類型、應用及趨勢分析(2025-2030)
- 熒光顏料市場預計2032年達6.21億美元:包裝、紡織與安全應用驅動增長
- 國際炭黑協會ICBA發布首個爐法炭黑行業平均產品碳足跡PCF
- 特種炭黑行業趨勢分析:塑料與鋰電市場驅動增長














