顏料紅48:3_單偶氮鍶鹽色淀顏料PR48:3_鍶紅2B
- 名稱:顏料紅48:3
- 俗稱:鍶紅2B
- 色相/色光:紅色
- 化學類別:單偶氮鍶鹽色淀有機顏料
- 特點:優異的耐曬性和良好的耐熱、耐堿、耐滲色性
- 應用:塑料、涂料、油墨、橡膠和文教用品等行業
- 更新日期:2024-12-17
- 點擊索要樣品 查詢相關產品
馬上撥打電話 400 006 1223 咨詢
顏料紅48:3_單偶氮鍶鹽色淀顏料PR48:3_鍶紅2B相關信息
顏料紅48:3_單偶氮鍶鹽色淀有機顏料紅P.R.48:3_鍶紅2B
化學性質與結構
- 索引號名稱:顏料紅48:3
- 英文名稱:Pigment Red 48:3/P.R.48:3
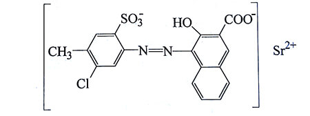
- 化學名稱:4-[(5-氯-4-甲基-2-磺酰苯基)偶氮]-3-羥基-2-萘甲酸鍶
- C.I.結構號:15865:3
- CAS登記號:15782-05-5
- EINECS號:239-879-2
- 分子式:C18H11ClN2O6SSr
- 分子量:506.44
- 分子結構圖:

顏料紅48:3物理性能:
| 產品外觀形狀 | 紅色粉末 |
| 相對密度 | 1.61-1.90 |
| 堆積密度/(lb/gal) | 13.4-15.8 |
| 粒子形狀 | 小薄片狀 |
| pH值/(10%漿料) | 7.0-8.5 |
| 吸油量 | 43-50 |
| 遮蓋力 | 半透明型 |

顏料紅48:3合成方法:
- 首先將2B-酸鈉鹽溶于水中,經過濾和冷卻后與亞硝酸鈉溶液混合;
- 再將其放至鹽酸水溶液中重氮化,稀釋;
- 將2,3-酸溶于碳酸鈉水溶液中,冷卻;
- 將重氨液于液面下加入偶合、攪拌、加熱、過濾;
- 將得到的膏狀物懸浮于水中,調至pH值等于4.4~4.7左右,加入松香皂溶液加熱至沸,加入氯化鍶溶液中升溫至沸,轉變為鍶鹽色淀,最后經過濾、水洗、干燥得到顏料紅48:3。
主要用途及特性:
顏料紅48:3(Pigment Red 48:3)是一種紅色的單偶氮鍶鹽色淀類有機顏料,俗稱鍶紅2B,它的色光比C.I.顏料紅48:1和48:4藍光,比顏料紅48:2黃光,具有良好的耐曬性、耐堿性、耐滲透性和耐熱穩定性能,著色力高,主要用于塑料的著色應用,如:PVC,LDPE,PS,PUR,PP等,在軟質PVC中耐光和耐遷移性很好,還可用于涂料和包裝印墨等產品著色。

顏料紅48:3代表產品
-
日本DIC顏料紅SYMULER RED 3123易分散塑料顏料(顏料紅48:3)
日本DIC迪愛生SYMULER RED 3123易分散塑料顏料是一種粉末狀的黃光紅色單偶氮色淀顏料,具有高著色力、高耐光耐候、易分散等優點,主要用于塑料著色(如...
-
巴斯夫K4165鮮紅有機顏料Irgalite Scarlet K4165偶氮色淀顏料
巴斯夫K4165是一種半透明的紅色單偶氮鍶鹽色淀有機顏料,顏料紅48:3,飽和度高,顏色強度高,具有出色的分散性,在聚烯烴中具有優異的熱穩定性,在HDPE高密度...
-
巴斯夫K4060FP/2BSP紅薄膜用單偶氮色淀顏料
巴斯夫Irgalite Red K4060FP/2BSP是一款適用于薄膜制品的半透明中性紅色單偶氮色淀顏料,具有高飽和度,高著色力和優良的色牢度性能,巴斯夫K4...
【返回上一頁】
產品列表
相關產品
最新文章
